An oscilloscope for python that just works™
import random
from time import sleep
from oscilloscope import Osc
osc = Osc()
@osc.signal
def simple_random_signal(state):
while True:
state.draw(random.random())
sleep(0.1)
osc.start()Gives you this
Each osc.signal gets it's own process.
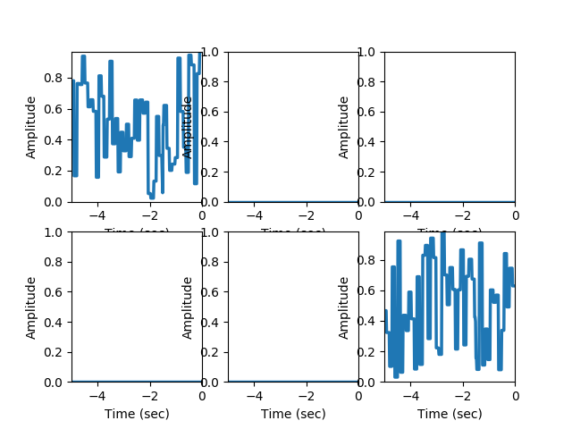
import random
from time import sleep
from oscilloscope import Osc
osc = Osc(nrows=2, ncols=3)
@osc.signal
def signal1(state):
while True:
state.draw((random.random())
sleep(0.1)
@osc.signal
def signal2(state):
while True:
state.draw(random.random(), row=1, col=2)
sleep(0.1)
osc.start()Gives you this
P.S. Don't worry about race conditions, state.draw() is atomic. (See zproc)
The Y-axis's scale is dynamic, meaning that the graph's y axis scales with your signal.
import random
from time import sleep
from oscilloscope import Osc
# adjust window_sec and intensity to improve visibility
osc = Osc(window_sec=10, intensity=1)
@osc.signal
def increasing_signal(state):
delta = 1
while True:
state.draw(random.randint(-delta, delta))
delta += 5
sleep(0.01)
osc.start()Gives you this
import random
from time import sleep
from oscilloscope import Osc
# turn on normalization
osc = Osc(normalize=True)
@osc.signal
def increasing_signal(state):
delta = 1
while True:
state.draw(random.randint(-delta, delta))
delta += 5
sleep(0.01)
osc.start()Gives you this
This was the same signal as the [earlier](#Automatic normalization) one, but it looks a lot like the simple example, because we turned on normalization!
The Y-axis will now show, % max-amplitude encountered at the time, not the raw value.
pip install oscilloscope
MIT Licence
Python 3.6+ only.



